全國服務熱線
400-875-1500
400-875-1500
銷售熱線:13720093566

掃一掃,添加銷售經理
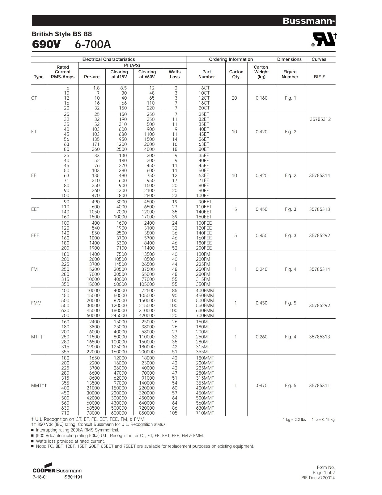
FE系列IGBT保護快速熔斷器
庫存型號:100FE;140FEE;200FEE;35FE;40FE;50FE;63FE;80FE
描述:
UL識別CT, ET, FE, EET, FEE, FM, FMM。
350 Vdc (IEC)評級。向Bussmann咨詢美國勞工聯合會的認可情況。
n中斷額定值200kA均方根對稱。
用于CT、ET、FE、EET、FEE、FM和FMM的ul識別。
額定電流提供n瓦的損耗。
注:FC、8ET、12ET、15ET、20ET、65EET、75EET可用于替換現有設備。
分享至:
- 產品介紹
- 視頻中心
- 相關證書
- 樣品申請
- PDF下載



上一篇:EV10 500VDC電動汽車控制盒熔斷器 下一篇:沒有了






銷售熱線




















